![]() |
ITS-90熱電偶正多項式
和逆多項式
正多項式從一個已知溫度(?C)提供熱電電壓(μV);逆多項式從一個已知熱電電壓(μV)提供溫度(?C)。
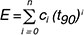
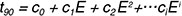
J型熱電偶-參考方程的系數ci作為指示溫區(qū)的溫度t的函數給出熱電電壓E。方程的形式為:90

式中E的單位為毫伏,t90的單位為攝氏度。
| 溫度范圍: | -210 ~ 760?C |
760 ~ 1,200?C |
| C0 C1 C2 C3 C4 C5 C6 C7 C8 |
0.000 000 000 0 .... 5.038 118 781 5 x101 3.047 583 693 0 x 10 -2 -8.568 106 572 0 x 10 -5 1.322 819 529 5 x 10 -7 -1.705 295 833 7 x 10 -10 2.094 809 069 7 x 10 -13 -1.253 839 533 6 x 10 -16 1.563 172 569 7 x 10 -20 |
2.964 562 568 1 x 105
-1.497 612 778 6 x 103 3.178 710 392 4 -3.184 768 670 1 x 10-3 1.572 081 900 4 x 10-6 -3.069 136 905 6 x 10-10 |
K型熱電偶-參考公式的系數α0作為指示溫區(qū)的溫度t90、α1和αi的函數給出熱電電壓E。0?C以下的方程形式為:

0?C以上的方程形式為:

式中e是自然對數常數,E的單位為毫伏,t90的單位為攝氏度。
| 溫度范圍: | 系數 |
| -270 ~ 0?C | c0= 0.000 000 000 0 .... c1= 3.945 012 802 5 x 10 1 c2 = 2.362 237 359 8 x 10-2 c3= -3.285 890 678 4 x 10-4 c4 = -4.990 482 877 7 x 10-6 c5= -6.750 905 917 3 x 10 -8 c6= -5.741 032 742 8 x 10 -10 c7= -3.108 887 289 4 x 10 -12 c8= -1.045 160 936 5 x 10 -14 c9= -1.988 926 687 8 x 10 -17 c10= -1.632 269 748 6 x 10 -20 |
| -270 ~ 0?C | c0= -1.760 041 368 6 x 10
1
c1= 3.892 120 497 5 x 10 1 c2 = 1.855 877 003 2 x 10-2 c3= -9.945 759 287 4 x 10-5 c4 = 3.184 094 571 9 x 10-7 c5= -5.607 284 488 9 x 10 -10 c6= 5.607 505 905 9 x 10 -13 c7= -3.202 072 000 3 x 10 -16 c8= 9.715 114 715 2 x 10 -20 c9= -1.210 472 127 5 x 10 -23 α0= 1.185 976 x 10 2 α1= -1.183 432 x 10 -4 |
J型熱電偶-近似反函數的系數作為熱電電壓E的函數給出 選定的溫度和電壓范圍內的溫度t90。函數的形式為:

式中E的單位為毫伏,t90的單位為攝氏度。
| 溫度范圍: | -210 ~ 0?C |
0 ~ 760?C |
760 ~ 1,200?C |
| 電壓范圍: | -8,095 ~ 0 μV |
0 ~ 42,919 μV |
42,919 ~ 69,553μV |
| C0 C1 C2 C3 C4 C5 C6 C7 C8 |
0.000 000 0 .... 1.952 826 8 x 10 -2 -1.228 618 5 x 10-6 -1.075 217 8 x 10-9 -5.908 693 3 x 10-13 -1.725 671 3 x 10-16 -2.813 151 3 x 10-20 -2.396 337 0 x 10 -24 -8.382 332 1 x 10 -29 |
0.000 000 .... 1.978 425 x 10-2 -2.001 204 x 10 -7 1.036 969 x 10 -11 2.549687x10-16 3.585 153x 10-21 -5.344 285 x 10-26 5.099 890 x 10-31 |
-3.113 581 87 x 103 3.005 436 84 x 10-1 -9.947 732 30 x 10 -6 1.702 766 30 x 10-10 -1.430 334 68 x 10-15 4.738 860 84 x 10 -21 |
| 誤差范圍: | 0.03 ~ -0.05?C |
0.04 ~ -0.04?C |
0.03 ~ -0.04?C |
K型熱電偶-近似反函數的系數作為熱電電壓E的函數給出選定的溫度和電壓范圍內的溫度t90。函數的形式為:

式中E的單位為毫伏,t90的單位為攝氏度。
| 溫度范圍: | -200 ~ 0?C |
0 ~ 500?C |
500 ~ 1,372?C |
| 電壓范圍: | -5891 ~ 0 μV |
0 ~ 20,644 μV |
20,644 ~ 54,886 μV |
| C0 C1 C2 C3 C4 C5 C6 C7 C8 |
0.000 000 0 .... 2.517 346 2 x 10-2 -1.166 287 8 x 10-6 -1.083 363 8 x 10-9 -8.977 354 0 x 10 -13 -3.734 237 7 x 10-16 -8.663 264 3 x 10-20 -1.045 059 8 x 10 -23 -5.192 057 7 x 10-28 |
0.000 000 .... 2.508 355 x 10 -2 7.860 106 x 10-8 -2.503 131 x 10-10 8.315 270 x 10-14 -1.228 034 x 10-17 9.804 036 x 10-22 -4.413 030 x 10-26 1.057 734 x 10-30 -1.052 755 x 10-35 |
-1.318 058 x 102 4.830 222 x 10-2 -1.646 031 x 10-6 5.464 731 x 10-11 -9.650 715 x 10 -16 8.802 193 x 10-21 -3.110 810 x 10-26 |
| 誤差范圍: | 0.04?C ~ -0.02?C |
0.04?C ~ -0.05?C |
0.06?C ~ -0.05?C |
改編自NIST 175,Temperature-Electromotive Force Reference Functions and Tables for the Letter-Designated Thermocouple Types Based on the ITS-90,作者:G.W. Burns, M.G. Scroger, G.F. Strouse, M.C. Croakin和W.F. Guthrie, 1993。 在美國沒有著作權。
T型熱電偶-參考方程的系數ci作為指示溫區(qū)的溫度t90的 函數給出熱電電壓E。方程的形式為:
式中E的單位為毫伏,t90的單位為攝氏度。
| 溫度范圍: | -270 ~ 0?C |
0 ~ 400?C |
| C0 C1 C2 C3 C4 C5 C6 C7 C8 C9 C10 C11 C12 C13 C14 |
0.000 000 000 0.... 3.874 810 636 4 x101 4.419 443 434 7 x 10 -2 1.184 432 310 5 x 10 -4 2.003 297 355 4 x 10-5 9.013 801 955 9 x 10-7 2.265 115 659 3 x 10-8 3.607 115 420 5 x 10-10 3.849 393 988 3 x 10-12 2.821 352 192 5 x 10-14 1.425 159 477 9 x 10-16 4.876 866 228 6 x 10-19 1.079 553 927 0 x 10-21 1.394 502 706 2 x 10-24 7.979 515 392 7 x 10-28 |
0.000 000 000 0.... 3.874 810 636 4 x101 3.329 222 788 0 x10-2 2.061 824 340 4 x 10-4 -2.188 225 684 6 x 10-6 1.099 688 092 8 x 10-8 3.0815758772x10-11 4.547 913 529 0 x 10-14 2.7512901673x10-17 |
E型熱電偶-參考方程的系數ci 作為指示溫區(qū)的溫度t90的函數給出熱電電壓E。方程的形式為:
式中E的單位為毫伏,t90的單位為攝氏度。
| 溫度范圍: | -270 ~ 0?C |
0 ~ 1000?C |
| C0 C1 C2 C3 C4 C5 C6 C7 C8 C9 C10 C11 C12 C13 |
0.000 000 000 0 .... 5.866 550 870 8 x101 4.541 097 712 4 x 10-2 -7.799 804 868 6 x 10-4 -2.580 016 084 3 x 10-5 -5.945 258 305 7 x 10 -7 -9.321 405 866 7 x 10-9 -1.028 760 553 4 x 10-10 -8.037 012 362 1 x 10-13 -4.397 949 739 1 x 10-15 -1.641 477 635 5 x 10-17 -3.967 361 951 6 x 10-20 -5.582 732 872 1 x 10 -23 -3.465 784 201 3 x 10-26 |
0.000 000 000 0 .... 5.866 550 871 0 x101 4.503 227 558 2 x10-2 2.890 840 721 2 x 10-5 -3.305 689 665 2 x 10-7 6.502 440 327 0 x 10 -10 -1.919 749 550 4 x 10-13 -1.253 660 049 7 x 10-15 2.148 921 756 9 x 10-18 -1.438 804 178 2 x 10-21 3.596 089 948 1 x 10-25 |
T型熱電偶-近似反函數的系數作為熱電電壓E的函數給出 選定的溫度和電壓范圍內的溫度t90。函數的形式為:
式中E的單位為毫伏,t90的單位為攝氏度。
| 溫度范圍: | -200 ~ 0?C |
0 ~ 400?C |
| 電壓范圍: | -5,603 ~ 0 μV |
0 ~ 20,872 μV |
| C0 C1 C2 C3 C4 C5 C6 C7 |
0.000 000 0.... 2.594 919 2 x 10-2 -2.131 696 7 x 10-7 7.901 869 2 x 10-10 4.252 777 7 x 10-13 1.330 447 3 x 10-16 2.024 144 6 x 10-20 1.266 817 1 x 10 -24 |
0.000 000 .... 2.592 800 x 10 -2 -7.602 961 x 10-7 4.637 791 x 10-11 -2.165 394 x 10-15 6.048 144 x 10-20 -7.293 422 x 10-25 |
| 誤差范圍: | 0.04 ~ -0.02?C |
0.03 ~ -0.03?C |
E型熱電偶-近似反函數的系數作為熱電電壓E的函數給出 選定的溫度和電壓范圍內的溫度t90。函數的形式為:
式中E的單位為毫伏,t90的單位為攝氏度。
| 溫度范圍: | -200 ~ 0?C |
0 ~ 1,000?C |
| 電壓范圍: | -8,825 ~ 0 μV |
0 ~ 76,373 μV |
| C0 C1 C2 C3 C4 C5 C6 C7 C8 C9 |
0.000 000 0 .... 1.697 728 8 x 10-2 -4.351 497 0 x 10-7 -1.585 969 7 x 10-10 -9.250 287 1 x 10 -14 -2.608 431 4 x 10-17 -4.136 019 9 x 10-21 -3.403 403 0 x 10 -25 -1.156 489 0 x 10-29 |
0.000 000 0 .... 1.705 703 5 x 10-2 -2.330 175 9 x 10-7 6.543 558 5 x 10-12 -7.356 274 9 x 10-17 -1.789 600 1 x 10-21 8.403 616 5 x 10-26 -1.373 587 9 x 10 -30 1.062 982 3 x 10-35 -3.244 708 7 x 10-41 |
| 誤差范圍: | 0.03 ~ -0.01?C |
0.02 ~-0.02?C |
N型熱電偶-參考方程的系數ci作為指示溫區(qū)的溫度t90的函數給出熱電電壓E。方程的形式為:
式中E的單位為毫伏,t90的單位為攝氏度。
| 溫度范圍: | -270 ~ 0?C |
0 ~ 1,300?C |
| C0 C1 C2 C3 C4 C5 C6 C7 C8 C9 C10 |
0.000 000 000 0.... 2.615 910 596 2 x101 1.095 748 422 8 x 10-2 -9.384 111 155 4 x 10-5 -4.641 203 975 9 x 10-8 -2.630 335 771 6 x 10 -9 -2.265 343 800 3 x 10-11 -7.608 930 079 1 x 10-14 -9.341 966 783 5 x 10-17 |
0.000 000 000 0.... 2.592 939 460 1 x 101 1.571 014 188 0 x 10-2 4.382 562 723 7 x 10-5 -2.526 116 979 4 x 10-7 6.431 181 933 9 x 10-10 -1.006 347 151 9 x 10-12 9.974 533 899 2 x 10-16 -6.086 324 560 7 x 10 -19 2.084 922 933 9 x 10-22 -3.068 219 615 1 x 10-26 |
N型熱電偶-近似反函數的系數作為熱 電電壓E的函數給出選定的溫度和電 壓范圍內的溫度t90。函數的形式為:
式中E的單位為毫伏,t90的單位為攝氏度。
| 溫度范圍: | -200 ~ 0?C |
0 ~ 600?C |
600 ~ 1,300?C |
0 ~ 1,300?C |
| 電壓范圍: | -3,990 ~ 0 μV |
0 ~ 20,613 μV |
20,613 ~ 47,513 μV |
0 ~ 47,513 μV |
| C0 C1 C2 C3 C4 C5 C6 C7 C8 C9 |
0.000 000 0 .... 3.843 684 7 x 10-2 1.101 048 5 x 10-6 5.222 931 2 x 10-9 7.206 052 5 x 10-12 5.848 858 6 x 10-15 2.775 491 6 x 10-18 7.707.516 6 x 10-22 1.158 266 5 x 10-25 7.313 886 8 x 10 -30 |
0.000 00 .... 3.868 96 x 10 -2 -1.082 67 x 10-6 4.702 05 x 10-11 -2.121 69 x 10-18 -1.172 72 x 10-19 5.392 80 x 10-24 -7.981 56 x 10-29 |
1.972 485 x 101 3.300 943 x 10-2 -3.915 159 x 10-7 9.855 391 x 10-12 -1.274 371 x 10 -16 7.767 022 x 10-22 |
0.000 000 0 .... 3.878 327 7 x 10-2 -1.161 234 4 x 10-6 6.952 565 5 x 10-11 -3.009 007 7 x 10-15 8.831 158 4 x 10-20 -1.621 383 9 x 10-24 1.669 336 2 x 10-29< -7.311 754 0 x 10-35 |
| 誤差范圍: | 0.03 ~ -0.02?C |
0.03 ~ -0.02?C |
0.02 ~ -0.04?C |
0.06 ~ -0.06?C |
B型熱電偶-參考方程的系數ci作為指示溫區(qū)的溫度t90的函數給出熱電電壓E。方程的形式為:
式中E的單位為毫伏,t90的單位為攝氏度。
| 溫度范圍: | 0 ~ 630.615?C |
630.615 ~ 1,820?C |
| C0 C1 C2 C3 C4 C5 C6 C7 C8 |
0.000 000 000 0 .... -2.465 081 834 6 x10-1 5.904 042 117 1 x 10-3 -1.325 793 163 6 x 10-6 1.566 829 190 1 x 10-9 -1.694 452 924 0 x 10 -12 6.229 034 709 4 x 10-16 |
-3.893 816 862 1 x 103 2.857 174 747 0 x 101 -8.488 510 478 5 x 10-2 1.578 528 016 4 x 10-4 -1.683 534 486 4 x 10-7 1.110 979 401 3 x 10 -4.451 543 103 3 x 10-14 9.897 564 082 1 x 10-18 -9.379 133 028 9 x 10-22 |
B型熱電偶-近似反函數的系數作為熱電電壓E的函數給出 選定的溫度和電壓范圍內的溫度t90 。函數的形式為:
式中E的單位為毫伏,t90的單位為攝氏度。
| 溫度范圍: | 250 ~ 700?C |
700 ~ 1,820?C |
| 電壓范圍: | 291 ~ 2,431 μV |
2,431 ~ 13,820 μV |
| C0 C1 C2 C3 C4 C5 C6 C7 C8 |
9.842 332 1 x 101 6.997 150 0 x 10-1 -8.476 530 4 x 10 -4 1.005 264 4 x 10-6 -8.334 595 2 x 10-10 4.550 854 2 x 10-13 -1.552 303 7 x 10-16 2.988 675 0 x 10-20 -2.474 286 0 x 10-24 |
2.131 507 1 x 102 2.851 050 4 x 10-1 -5.274 288 7 x 10-5 9.916 080 4 x 10-9 -1.296 530 3 x 10-12 1.119 587 0 x 10-16 -6.062 519 9 x 10-21 1.866 169 6 x 10 -25 -2.487 858 5 x 10-30 |
| 誤差范圍: | 0.03 ~ -0.02?C |
0.02 ~ -0.01?C |
R型熱電偶-參考方程的系數ci作為指示溫區(qū)的溫度t90的函數給出熱電電壓E。 方程的形式為:

式中E的單位為毫伏,t90的單位為攝氏度。
| 溫度范圍: | -50 ~ 1,064.18?C |
1,064.18
~ 1,664.5?C |
1,664.5 ~ 1,768.1?C |
| C0 C1 C2 C3 C4 C5 C6 C7 C8 |
0.000 000 000 0 .... 5.289 617 297 65 .... 1.391 665 897 82 x 10-2 -2.388 556 930 17 x 10-5 3.569 160 010 63 x 10-8 -4.623 476 662 98 x 10-11 5.007 774 410 34 x 10-14 -3.731 058 861 91 x 10-17 1.577 164 823 67 x 10-20 -2.810 386 252 51 x 10-24 |
2.951 579 253 16 x 103 -2.520 612 513 32 .... 1.595 645 018 65 x 10-2 -7.640 859 475 76 x 10-6 2.053 052 910 24 x 10-9 -2.933 596 681 73 x 10-13 |
1.522 321 182 09 x 105 -2.688 198 885 45 x 102 1.712 802 804 71 x 10-1 -3.458 957 064 53 x 10-5 -9.346 339 710 46 x 10-12 |
R型熱電偶-近似反函數的系數作為熱電電壓E的函數給 出選定的溫度和電壓范圍內的溫度t90。函數的形式為:

式中E的單位為毫伏,t90的單位為攝氏度。
| 溫度范圍 | -50?C ~ 250?C |
250 ~ 1,200?C |
1,064 ~ 1,664.5?C |
1,664.5 ~ 1,768.1?C |
| 壓范圍: | -226 ~ 1,923 μV |
1,923 ~ 13,228 μV |
11,361 ~ 19,739 μV |
19,739 ~ 21,103 μV |
| C0 C1 C2 C3 C4 C5 C6 C7 C8 C9 C10 |
0.000 000 0 .... 1.889 138 0 x 10-1 -9.383 529 0 x 10 -5 1.306 861 9 x 10-7 -2.270 358 0 x 10-10 3.514 565 9 x 10-13 -3.895 390 0 x 10-16 2.823.947 1 x 10-19 -1.260 728 1 x 10-22 3.135 361 1 x 10-26 -3.318 776 9 x 10 -30 |
1.334 584 505 x 101 1.472 644 573 x 10-1 -1.844 024 844 x 10-5 4.031 129 x 726 10-9 -6.249 428 360 x 10-13 6.468 412 046 x 10-17 -4.458 750 426 x 10-21 1.994 710 146 x 10-25 -5.313 401 790 x 10-30 6.481 976 217 x 10-35 |
-8.199 599 416 x 101 |
|
| 誤差范圍: | 0.02 ~ -0.02?C |
0.005 ~ -0.005?C |
0.001 ~ -0.0005?C |
0.002 ~ -0.001?C |
S型熱電偶-參考方程的系數ci作為指 示溫區(qū)的溫度t90的函數給出熱電電壓E。方程的形式為:

式中E的單位為毫伏,t90的單位為攝氏度。
| 溫度范圍: | -50 ~ 1,064.18?C |
1,064.18 ~ 1,664.5?C |
1,664.5 ~ 1,768.1?C |
| C0 C1 C2 C3 C4 C5 C6 C7 C8 |
0.000 000 000 0 .... 5.403 133 086 31.... 1.259 342 897 40 x 10-2 -2.324 779 686 89 x 10-5 3.220 288 230 36 x 10-8 -3.314 651 963 89 x 100-11 2.557 442 517 86 x 10-14 -1.250 688 713 93 x 10-17 2.714 431 761 45 x 10 -21 |
1.329 004 450 85 x 103
3.345 093 113 44 .... 6.548 051 928 18 x 10-3 -1.648 562 592 09 x 10-6 1.299 896 051 74 x 10-11 |
1.466 282 326 36 x 105
-2.584 305 167 52 x 102 1.636 935 746 41 x 10-1 -3.304 390 469 87 x 10 -5 -9.432 236 906 12 x 10-12 |
S型熱電偶-近似反函數的系數作為熱電電壓E的函數給出選定的溫度和電壓范圍內 的溫度t90。函數的形式為:

式中E的單位為毫伏,t90的單位為攝氏度。
| 溫度范圍: | -50 ~ 250?C |
250 ~ 1,200?C |
1,064 ~ 1,664.5?C |
1,664.5 ~ 1,768.1?C |
| 電壓范圍: | -235 ~ 1,874 μV |
1,874 ~ 11,950 μV |
10,332 ~ 17,536 μV |
17,536 ~ 18,693 μV |
| C0 C1 C2 C3 C4 C5 C6 C7 C8 C9 |
0.000 000 0 .... 1.849 494 60 x 10-1 -8.005 040 62 x 10-5 1.022 374 30 x 10-7 -1.522 485 92 x 10 -10 1.888 213 43 x 10-13 -1.590 859 41 x 10-16 8.230 278 80 x 10 -20 -2.341 819 44 x 10-23 2.797 862 60 x 10-27 |
1.291 507 177 x 1011.466 298 863 x 10-1 -1.534 713 402 x 10 -5 3.145 945 973 x 10-9 -4.163 257 839 x 10-13 3.187 963 771 x 10-17 -1.291 637 500 x 10-21 2.183 475 087 x 10-26 -1.447 379 511 x 10 -31 8.211 272 125 x 10-36 |
-8.087 801 117 x 101 1.621 573 104 x 10-1 -8.536 869 453 x 10-6 4.719 686 976 x 10-10 -1.441 693 666 x 10-14 2.081 618 890 x 10-19 |
5.333 875 126 x 104 -1.235 892 298 x 101 1.092 657 613 x 10-3 -4.265 693 686 x 10-8 6.247 205 420 x 10-13 |
| 誤差范圍 | 0.02 ~ -0.02?C |
0.01 ~ -0.01?C |
0.0002 ~ -0.0002?C |
0.002 ~ -0.002?C |
| 回到溫度檢測技術參考索引首頁 |

